• Предмет: Алгебра
  • Автор: Аноним
  • Вопрос задан 3 года назад

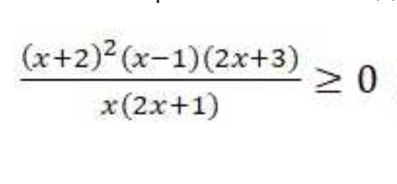
Решите неравенство методом интервалов:
 помогите пожалуйста
 

Приложения:

Ответы

Ответ дал: Universalka
1

\frac{(x+2)^{2} (x-1)(2x+3)}{x(2x+1)} \geq 0\\\\\frac{2(x+2)^{2}(x-1)(x+1,5)}{2x(x+0,5)}\geq0 \\\\\frac{(x+2)^{2}(x-1)(x+1,5)}{x(x+0,5)}\geq0 ;x\neq0;x\neq-0,5

    +              +                 -                  +             -            +

_____[-2]_____[-1,5]_____(-0,5)_____(0)_____[1]_____

//////////////////////////////               /////////////////             ////////////

Ответ : x ∈ (- ∞ ;- 1,5] ∪ (-0,5; 0) ∪ [1 ; + ∞)


Аноним: спасибо
Вас заинтересует