• Предмет: Геометрия
  • Автор: amongass
  • Вопрос задан 3 года назад

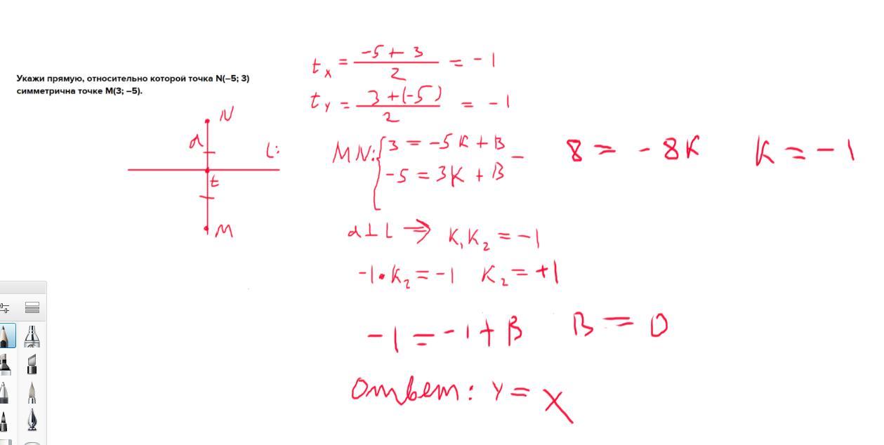
Укажи прямую, относительно которой точка N(–5; 3) симметрична точке M(3; –5).


serikbekadilhan3: Так какой ответ?

Ответы

Ответ дал: vlajong
83

Ответ:

y=x

Объяснение:

находим прямую лежавшую на точках mn

находим точку t так как это отражение то tm=tn

и прямая a перпендикулярна mn

Приложения:

amongass: спасибо,но там нужен ответ : y= x или y=-x или y=1
vlajong: я исправил
vlajong: я просчитался
vlajong: сори
vlajong: просто когда находил прямую искомую я посчитал б неправильно)
amongass: спасибо,теперь правильно
hamidovsamir99: спасибо большое
Вас заинтересует