• Предмет: Алгебра
  • Автор: gachasnowflake21
  • Вопрос задан 3 года назад

сделайте пожалуйста​

Приложения:

Ответы

Ответ дал: veradudina89
1

Ответ:

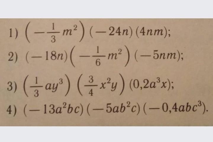
1) (- 1/3m²)(- 24n)(4nm) = 1/3 * 24 * 4 m²⁺¹ n¹⁺¹ = 32m³n²

2) (- 18n)(- 1/6m²)(- 5nm) = - 18 * 1/6 * 5 m²⁺¹n¹⁺¹ = - 15m³n²

3) (1/3ay³)(3/4x²y)(0,2a³x) = 1/3 * 3/4 * 0,2a¹⁺³x²⁺¹y³⁺¹ = 0,05a⁴x³y⁴

4) (- 13a²bc)(- 5ab²c)(- 0,4abc³) = - 26a²⁺¹⁺¹b¹⁺²⁺¹c¹⁺¹⁺³ = - 26a⁴b⁴c⁵

Объяснение:

Вас заинтересует