• Предмет: Алгебра
  • Автор: 1236685
  • Вопрос задан 3 года назад

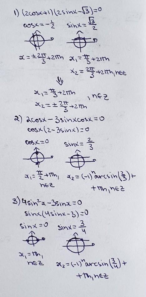
помогитееее пжжжжж алгебра​

Приложения:

Ответы

Ответ дал: Miroslava227
0

Ответ:

решение на фотографии

Приложения:

Miroslava227: Смотря как вы привыкли
1236685: во всех примерах можно так например в 1 примере вместо n к во втором тоже так же
Miroslava227: Да
1236685: хорошо а можно ещё попросить вас с номерами помочь?
1236685: баллы будут
1236685: вы тут??
1236685: пожалуйста помогите с алгеброй на последний вопрос зайдите
1236685: пжжжж
1236685: как слышите пожалуйста сможете мне помочь по алгебре там 2 номера решить у меня времени мало
1236685: ??????
Вас заинтересует