• Предмет: Математика
  • Автор: matveyd13330525
  • Вопрос задан 3 года назад

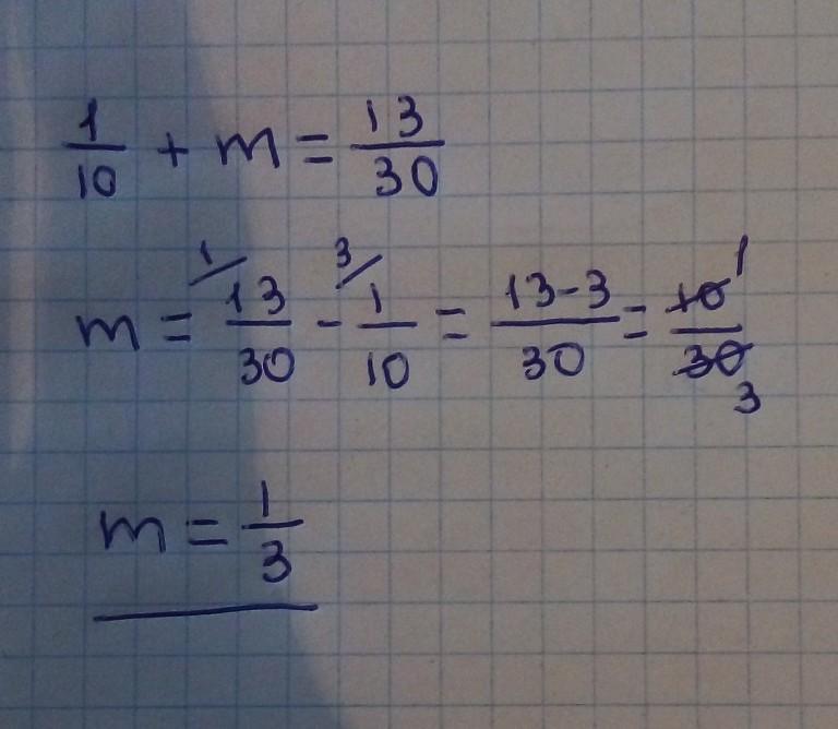
решите уравнение 1/10+m=13/30
Дробь сократите​

Ответы

Ответ дал: mirkatoktasinuly
0

Ответ:

1/10+м=13/30

м=13/30-1/10

м=13/30-3/30

м=10/30

м=1/3

Ответ дал: ssssii10hhhh
0

Ответ:

ответ m=1/3

Пошаговое объяснение:

все верно , решала сама

Приложения:
Вас заинтересует