• Предмет: Математика
  • Автор: iad200455
  • Вопрос задан 3 года назад

РЕШИТЕ МАТЕМАТИКУ 10 класс

Приложения:

Ответы

Ответ дал: Miroslava227
1

Ответ:

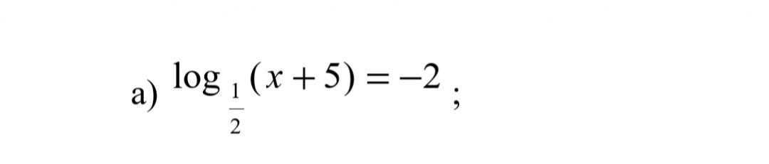
По ОДЗ: x>-5

x + 5 =  { \frac{1}{2} }^{ - 2}  \\ x + 5 = 4 \\ x =  - 1


1236685: помогите с алгеброй мне срочно надо сдать через 30 мин на мой последний вопрос можете зайти
Вас заинтересует