• Предмет: Алгебра
  • Автор: t993876321
  • Вопрос задан 3 года назад

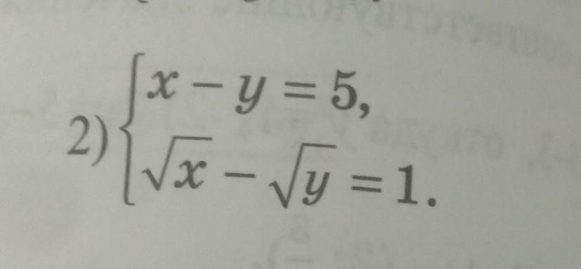
Пожалуйста помогите мне с решением, Срочно Пожалуйста​. Нужно решить систему уравнений с полным объяснением

Приложения:

Ответы

Ответ дал: pvdproduction1
1

Ответ:

см. решение в фото

Приложения:

t993876321: Благодарю
pvdproduction1: удачи)
t993876321: и тебе
Вас заинтересует