• Предмет: Алгебра
  • Автор: NA1966
  • Вопрос задан 10 лет назад

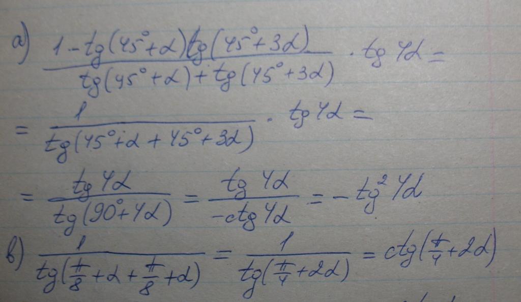
Тригонометрия. Пожалуйста, пункт а) и в)

Приложения:

Ответы

Ответ дал: LilitKit
0
В обеих случаях использована формула тангенса суммы двух углов
Приложения:
Ответ дал: NA1966
0
в) не видно, только первая сточка
Ответ дал: LilitKit
0
а больше и не нужно :) упростили...
Ответ дал: NA1966
0
Тааак , понятно . Тогда спасибо.
Вас заинтересует