• Предмет: Математика
  • Автор: iiiooopp777
  • Вопрос задан 3 года назад

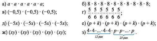
Данные выражения представьте в виде степени

Приложения:

Ответы

Ответ дал: horkovva
4

Ответ:

Пошаговое объяснение:

а⁶

(-05)³

(-5х)⁴

(ху)⁵

8¹⁰

5/6⁶

(р+к)⁴

4¹²*р²⁵

Ответ дал: iramazurk
2

Ответ:

Пошаговое объяснение:

а) а^6

б) 8^10

в) (-0,5)³

г) (5/6)^6

д) (-5х)⁴

е) (р + к)⁴

ж) (ху)^5

з) 4^12 р^25

Вас заинтересует