• Предмет: Алгебра
  • Автор: gburlutskiy
  • Вопрос задан 3 года назад

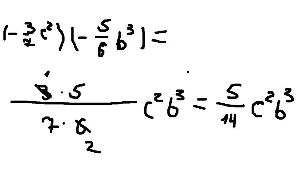
выполнить умножение одночленов

Приложения:

Ответы

Ответ дал: NNNLLL54
1

\Big(-\dfrac{3}{7}\, c^2\Big)\Big(-\dfrac{5}{6}\, b^3\Big)=\dfrac{5}{14}\, c^2\, b^3

Ответ дал: HooLIGaN12311
0

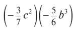
Вот скриншот с решением , если что-то не понятно спрашивай

Приложения:
Вас заинтересует