• Предмет: Алгебра
  • Автор: andreeyros
  • Вопрос задан 3 года назад

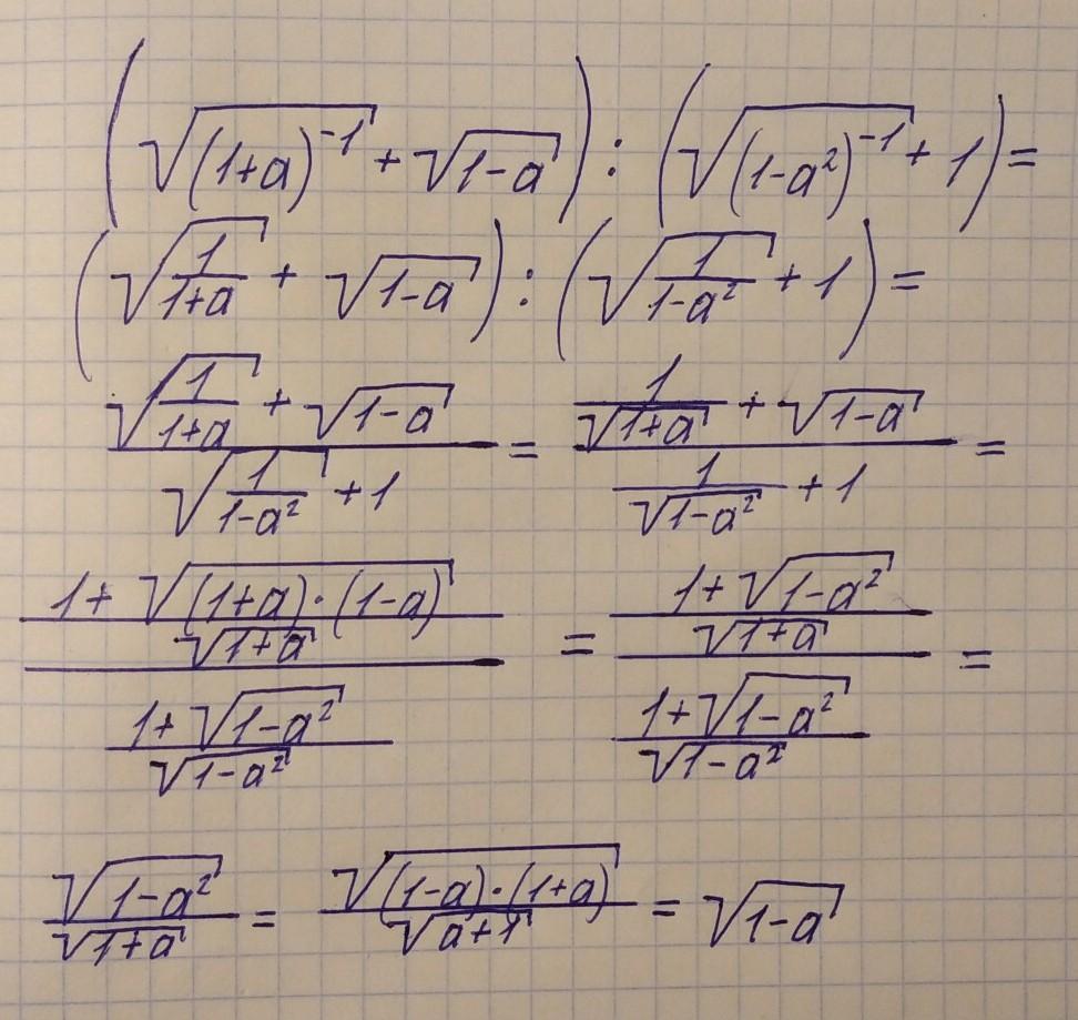
( Упростить выражение)


Приложения:

Ответы

Ответ дал: 123147123
1

Объяснение:

Ответ с решением на фотографии.

Приложения:
Вас заинтересует