• Предмет: Алгебра
  • Автор: sitnikovairina79
  • Вопрос задан 3 года назад

помогите плиз решить эти примеры​

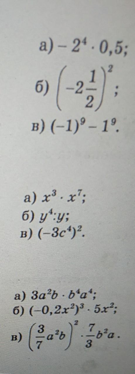
Приложения:

Ответы

Ответ дал: svetazuna
0

а)

-2⁴ * 0,5 = -16 * 0,5 = 8,

б)

(-2 1/2)² = (-5/2)² = 25/4 = 6 1/4,

в)

(-1)⁹ - 1⁹ = -1 - 1 = -2,

а)

х³ * х⁷ = х³⁺⁷ = х¹⁰,

б)

у⁴ : у = у⁴⁻¹ = у³,

в)

(-3с⁴)² = 9 * с⁴°² = 9с⁸,

а)

3а²в * в⁴а⁴ = 3 * а²⁺⁴ * в¹⁺⁴ = 3а⁶в⁵,

б)

(-0,2х²)³ * 5х² = 0,008 * х²°³ * 5х² = 0,04 * х⁶⁺² = 0,04х⁸,

в)

(3/7 а²в)² * 7/3 в²а = 3/7 * а²°² * в² * в²а = 3/7 * а⁴⁺¹ * в²⁺² = 3/7 а⁵в⁴

Вас заинтересует