• Предмет: Алгебра
  • Автор: salta79888
  • Вопрос задан 3 года назад

помогите очень нужно пжжжжжжжж срочно​

Приложения:

Ответы

Ответ дал: my19ivan032008
0

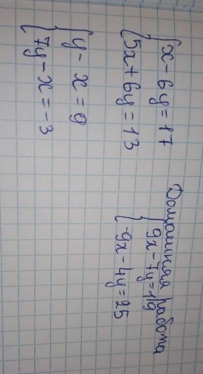
Ответ: Домашня робота [9х - 7у = 19, 9+7-6у= 10у, 9х - 10у= 19]

[9х-4у =25, 8+9-4=12, 12у+9-3=25]

Объяснение:

Вас заинтересует