• Предмет: Алгебра
  • Автор: Stan1slav0
  • Вопрос задан 3 года назад

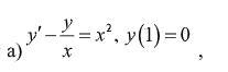
Розв’язати диференціальні рівняння

Приложения:

Ответы

Ответ дал: Miroslava227
1

Ответ:

решение на фотографии

Приложения:

Miа16: Вы шарите в задачах по комбинаторике? знаете украинский язык? Miroslava227
Вас заинтересует