Ответы
Ответ дал:
2
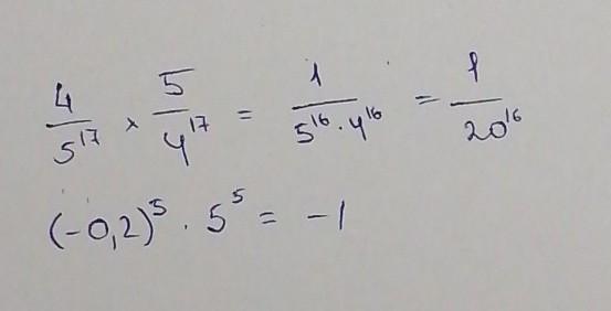
Ответ:
1/20^16
Объяснение:
1/5^16*1/4^16
1/20^16
Ответ дал:
3
Ответ:
.............................
Приложения:

Вас заинтересует
2 года назад
2 года назад
7 лет назад
9 лет назад
9 лет назад