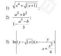
Запишите заданные математические выражения по правилам языка c#:

Приложения:

Ответы

Ответ дал: beketovnurhan12
0

Ответ:

запиши просто?

Объяснение:

алвловаоара

Вас заинтересует