• Предмет: Геометрия
  • Автор: belarusba11
  • Вопрос задан 3 года назад

30 баллов
На русском языке:
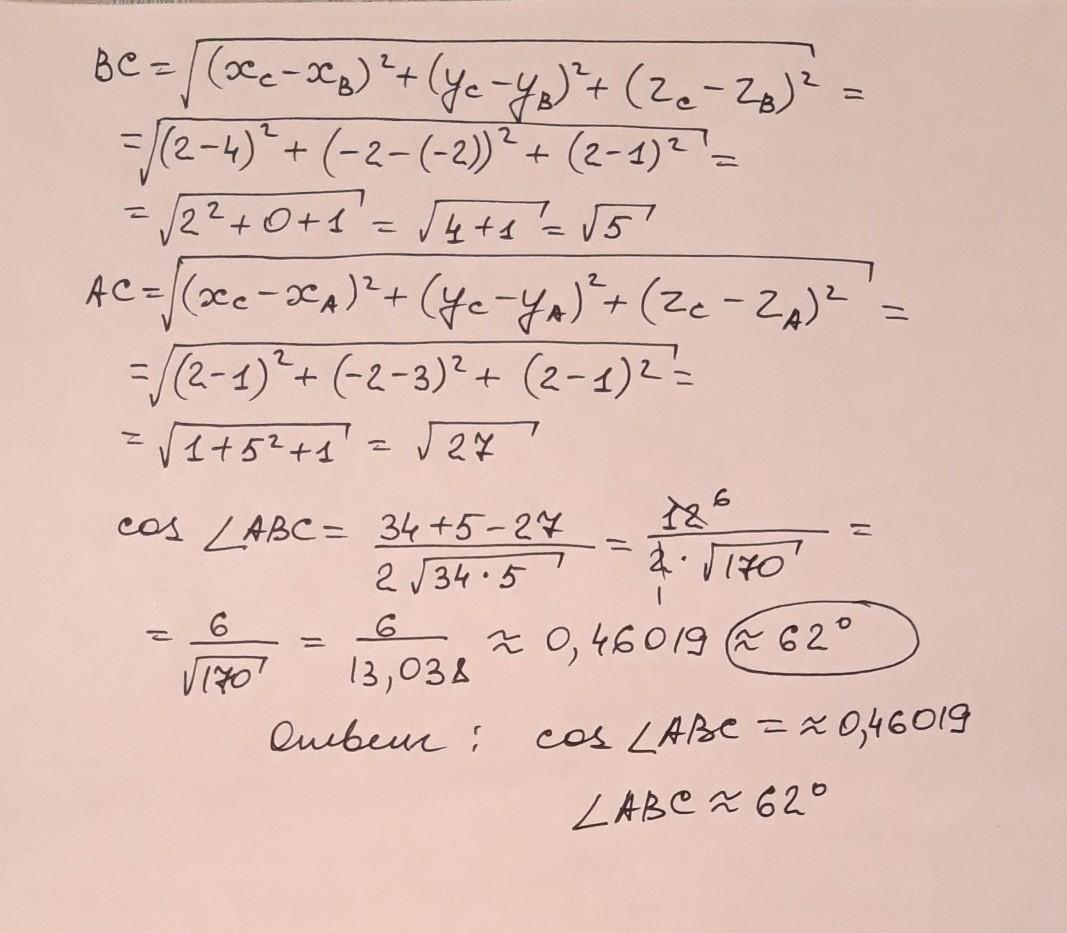
Треугольник задан координатами вершин А (1, 3, 1), В (4; -2; 1), С (2; -2; 2).
Найдите:
1) длину медианы АМ;
2) угол АВС. ​

Приложения:

sharofat0: Это какой класс?
belarusba11: 11
belarusba11: Тема декартова система координат.

Ответы

Ответ дал: sharofat0
2

Ответ:

Найти длину медианы.

1)АМ=~5,4 ед.

2)<АВС=~0,46.

Приложения:
Вас заинтересует