Ответы
Ответ дал:
1
Ответ:
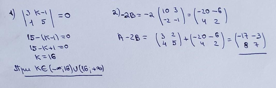
решение на фотографии
Приложения:

samsonenkoira12:
Спасибо вам огромное!!!!!!!! А вы не могли бы ещё 4 вариант посмотреть? Я его добавила только!!!!!
Вас заинтересует
2 года назад
2 года назад
7 лет назад
9 лет назад
9 лет назад