• Предмет: Математика
  • Автор: danilstavenko66
  • Вопрос задан 3 года назад

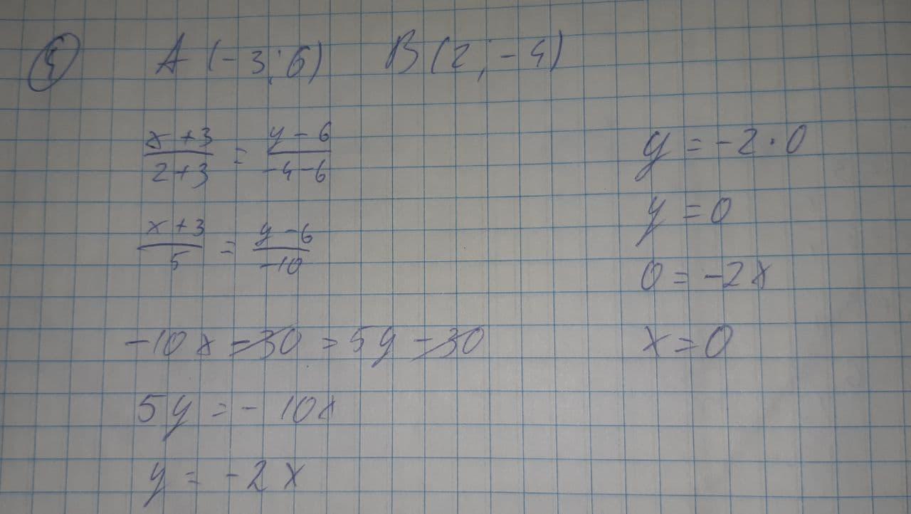
Довести що пряма на якiй лежать точки A (-3;6 ) B(2;-4) проходять через початок координат

Ответы

Ответ дал: tarandmy
0

Відповідь:

Покрокове пояснення:

Приложения:
Вас заинтересует