Ответы
Ответ дал:
0
Ответ:
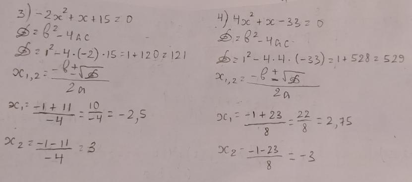
1) 16; -2 2) 1,4; 1 3) -2,5; 3 4) 2,75; -3
Пошаговое объяснение:
Решение на фото
Приложения:


Вас заинтересует
2 года назад
2 года назад
2 года назад
7 лет назад
7 лет назад
9 лет назад