• Предмет: Математика
  • Автор: musaevaguzela
  • Вопрос задан 3 года назад

помогите срочно пожалуйста ​

Приложения:

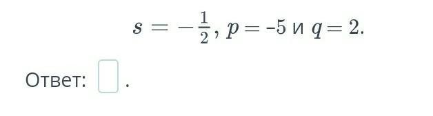
musaevaguzela: наеди значение выражения s × p × g, если и по рисунку

Ответы

Ответ дал: kremlevkola109
1

Ответ:

А какие условия уровнения?


musaevaguzela: наеди значение выражения s×p×g, если там дальше по картинки
Вас заинтересует