• Предмет: Алгебра
  • Автор: Ovsy9nka
  • Вопрос задан 3 года назад

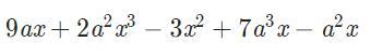
Укажите степень многочлена:

Приложения:

Ответы

Ответ дал: smorodinkalolp0t266
1

Ответ:

Объяснение:

Степень многочлена определяется по самой большой степени одночлена

Здесь это 2а^2х^3

Степень этого одночлена 5

Значит и степень многочлена тоже 5

Приложения:
Вас заинтересует