• Предмет: Алгебра
  • Автор: polonyt36
  • Вопрос задан 3 года назад

ПОМОГИТЕ, ПОЖАЛУЙСТА!!!!
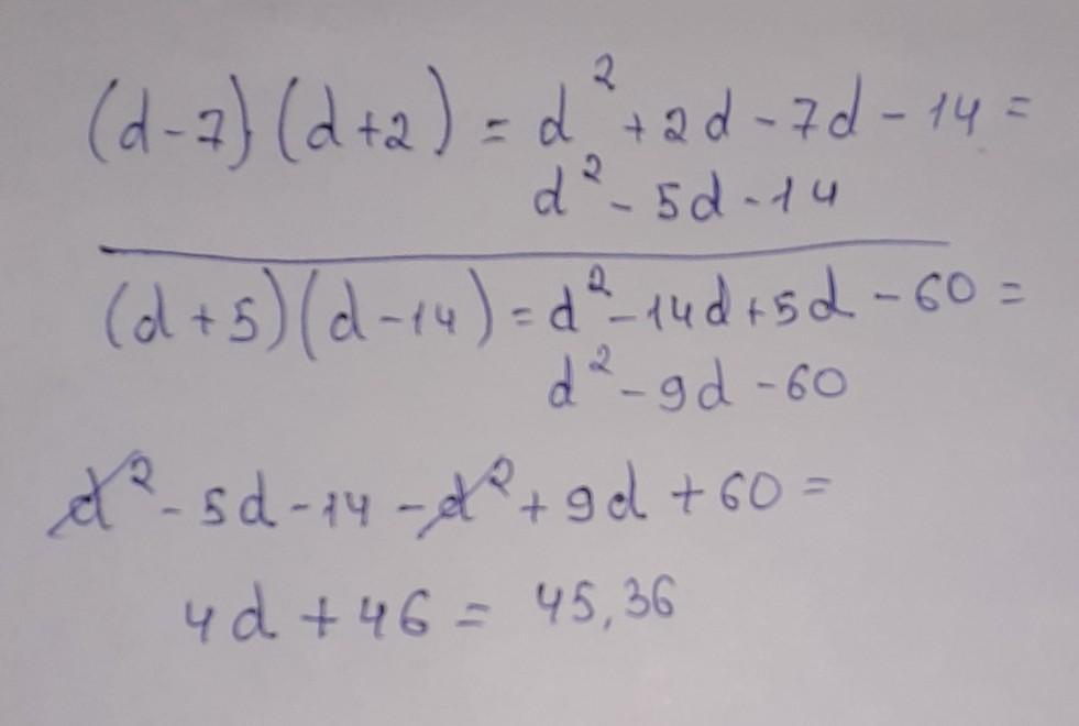
Найди значение выражения при d=−0,16,
предварительно упростив его: (d−7)⋅(d+2)−(d+5)⋅(d−14).

Значение выражения равно

Ответы

Ответ дал: ayazhandyisenovaa
0

Если неправильный то простите

Приложения:
Вас заинтересует