• Предмет: Алгебра
  • Автор: ashimovbael4
  • Вопрос задан 3 года назад

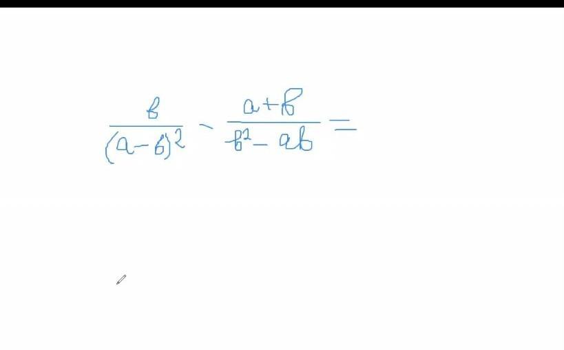
алгебра 8 класс помогите пж ​

Приложения:

Ответы

Ответ дал: erkinmumina93
0

Ответ:

А-б²-б²-аб

Аб²+аб²

Объяснение:

Вас заинтересует