• Предмет: Математика
  • Автор: slnms156
  • Вопрос задан 3 года назад

Напишите производные следующих функций ​

Приложения:

Ответы

Ответ дал: Miroslava227
3

Ответ:

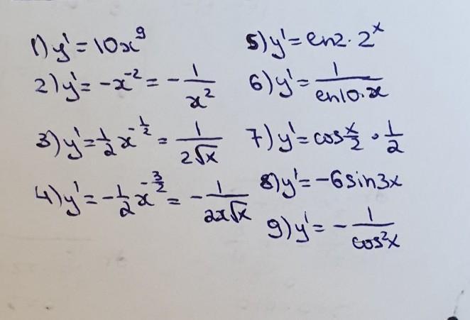
решение на фотографии

Приложения:

ptimofej397: Мирослава
Ivanova207: мне тоже пожалуйста помогите
slnms156: а остальные?
Miroslava227: Отвлеклась, пропустила)
Miroslava227: сейчас
Miroslava227: 10) y'=-(1/(sin(x))^2)
Miroslava227: 11)y'=1/((1-x^2)^(1/2))
Miroslava227: 12)y'=2/(1+4x^2)
ptimofej397: мирослава, помогите пожалуйста прошу вас
ptimofej397: помогите пожалуйста прошу
Вас заинтересует