• Предмет: Алгебра
  • Автор: Аноним
  • Вопрос задан 3 года назад

Много баллов. Помогите.. ​

Приложения:

Ответы

Ответ дал: Nelia2019
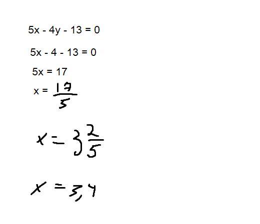
1

5х-4у-13=0

при у=1

5х-4-13=0

5х=17

х=3,4

Приложения:
Ответ дал: mrusipusi
1

Ответ:3.4

Объяснение:просто подставляем 3 вместо y, с дальним решением уравнения...

Приложения:
Вас заинтересует