• Предмет: Математика
  • Автор: Аноним
  • Вопрос задан 3 года назад

ПОМОГИТЕ ПЖ ОЧЕНЬ СРОЧНО​

Приложения:

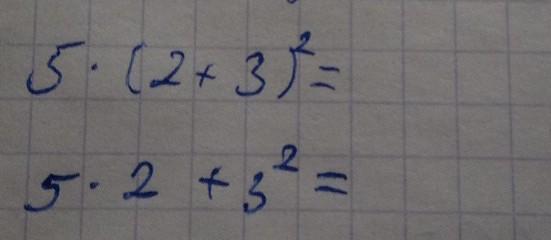
muromatumnojitel: 125; 19
Аноним: непон

Ответы

Ответ дал: gachalifeugolok
0

Ответ:

5•(2+3)²=3125

5•2+3²=19


gachalifeugolok: ойойойой
Ответ дал: arypalova
0

Ответ:

1. 125

2. 19

Пошаговое объяснение:

1. 1) 2+3=5

2) 5²= 5×5=25

3) 5×25=125

2. 1) 5×2=10

2) 3²= 3×3=9

3) 10+9=19

Вас заинтересует