Укажи верное равенство.
Верных ответов: 2
Назад
Проверить
Помогите, пожалуйста. Заранее спасибо!
Приложения:

Ответы
Ответ дал:
6
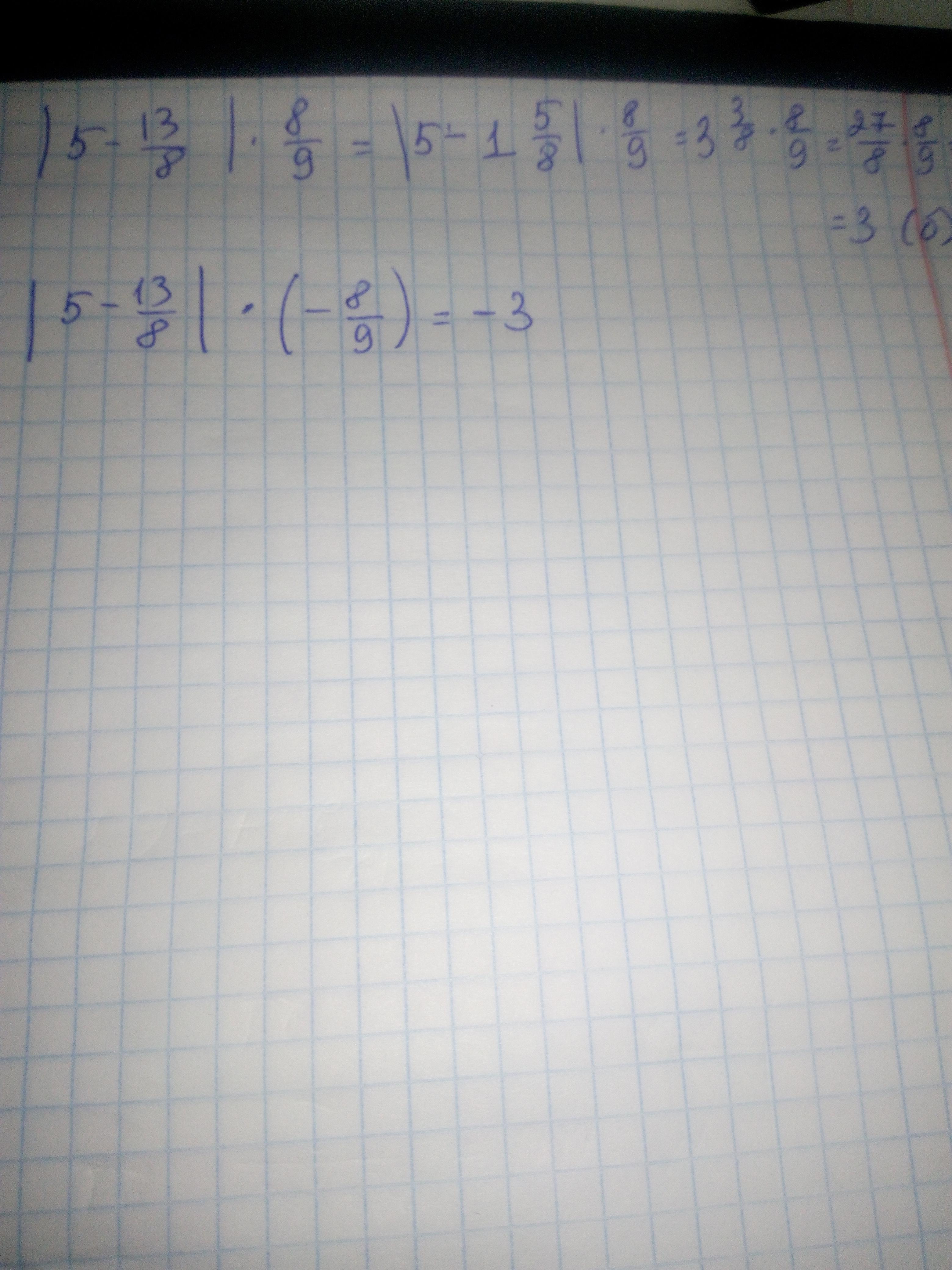
Ответ:
Пошаговое объяснение:
Приложения:

guykova197111:
лейтер
Вас заинтересует
2 года назад
2 года назад
7 лет назад
9 лет назад