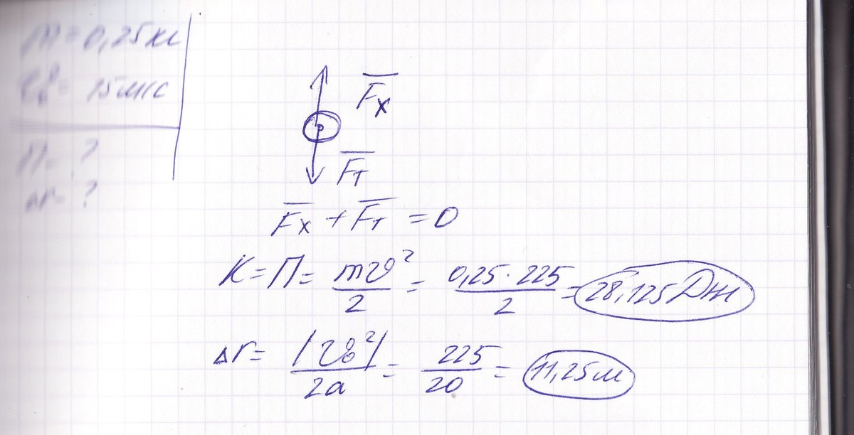
тело массой 250 г подброшено вертикально вверх со скоростью 15 м/с. определите его потенциальную энергию в высшей точке траектории и наибольшую высоту подъема
Ответы
Ответ дал:
0
...............................
Приложения:
Вас заинтересует
3 года назад
3 года назад
8 лет назад
11 лет назад
11 лет назад
11 лет назад