• Предмет: Математика
  • Автор: katadafas224
  • Вопрос задан 3 года назад

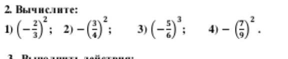
Вычислите:

ПОЖАЛУЙСТА ПОМОГИТЕ ПРОШУ​

Приложения:

Ответы

Ответ дал: aliya160607
1

Ответ:

1) 4/9

2) -9/16

3) -125/216

4) -49/81

Ответ дал: malikaburinovo
1

Пошаговое объяснение:

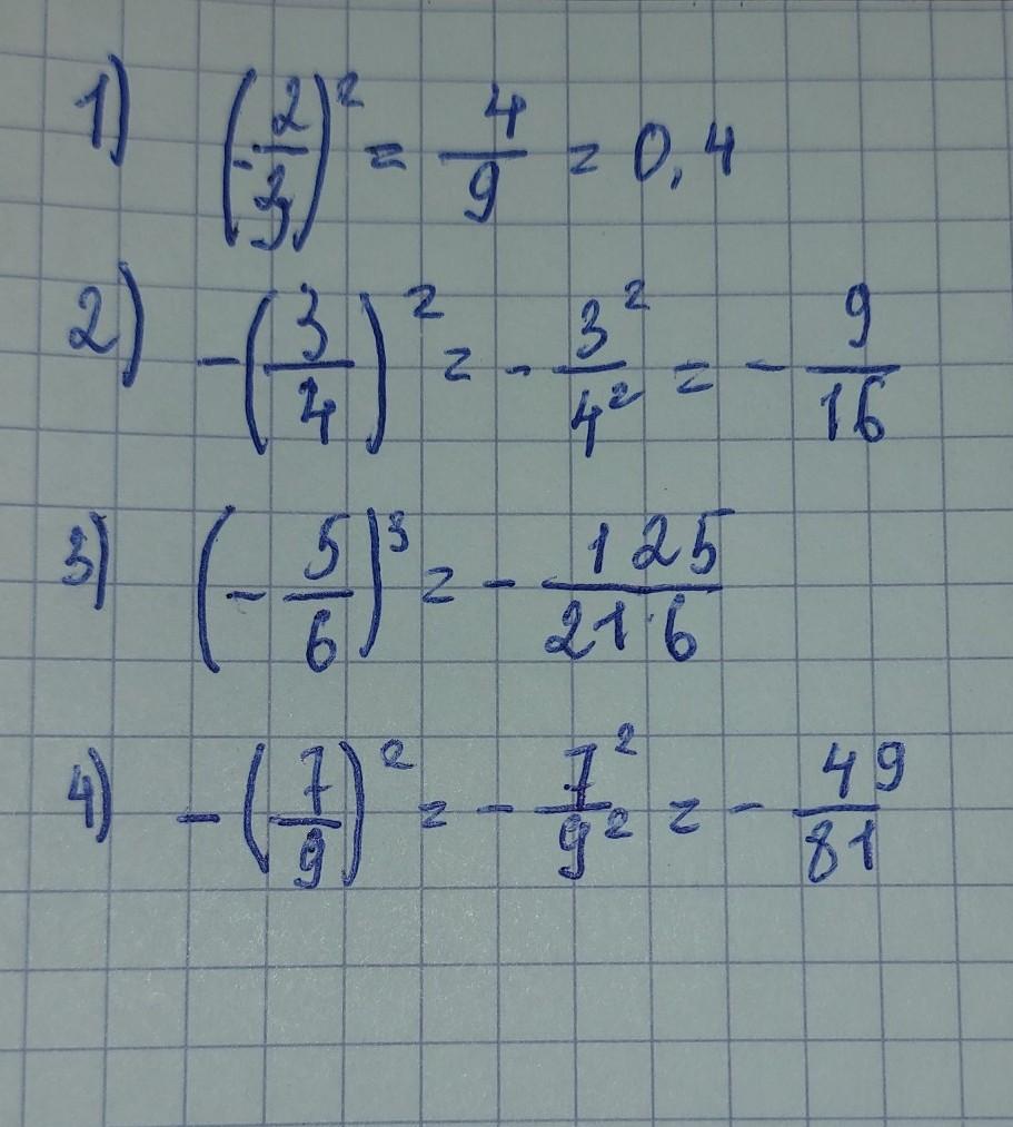
вот ответ) если что фото мач тебе в помощь

Приложения:
Вас заинтересует