• Предмет: Математика
  • Автор: оргшвапмврпгшвкапр
  • Вопрос задан 11 лет назад

Сколько будет если :
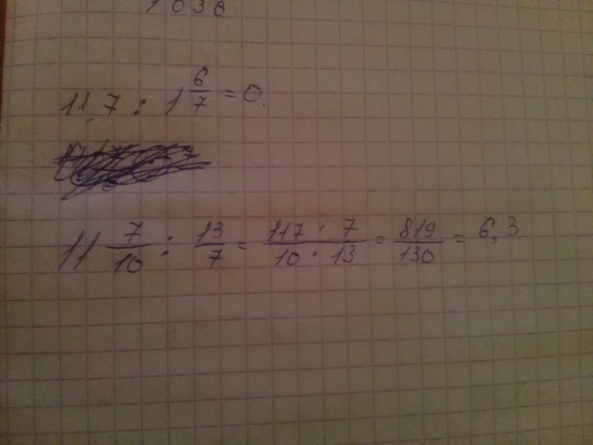
11,7 : 1 целую дробь 6/7=? 
подскажите пожалуйста 
за это 50 баллов даю

Ответы

Ответ дал: Lerok710
0
11,7:1⁶₇=11,7×⁷₁₃=6,3
Ответ дал: Ilona148
0
если я правильно вас поняла, то должно быть так
Приложения:
Вас заинтересует