• Предмет: Алгебра
  • Автор: Аноним
  • Вопрос задан 3 года назад

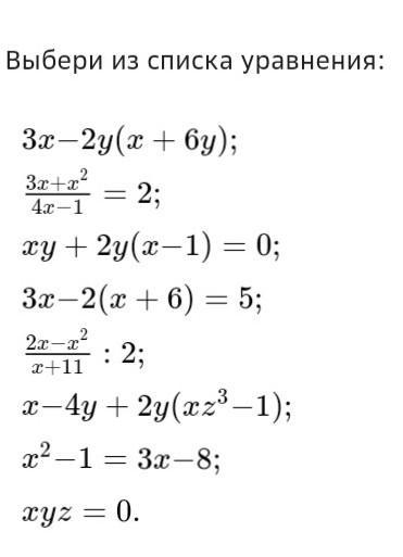
ПОМОГИТЕ ПОЖАЛУЙСТА ЭТО ШЦП ПО АЛГЕБРЕ 7 КЛАСС ХОТЬ КТО НИБУДЬ ПОМОГИТЕ ​

Приложения:

Ответы

Ответ дал: sadkov098
1

Ответ:

2, 3, 4, 7, 8 - уравнения.

Объяснение:


Аноним: СПАААААААААСИИИИИИБОООООО
Вас заинтересует