• Предмет: Математика
  • Автор: prendkovich03
  • Вопрос задан 3 года назад

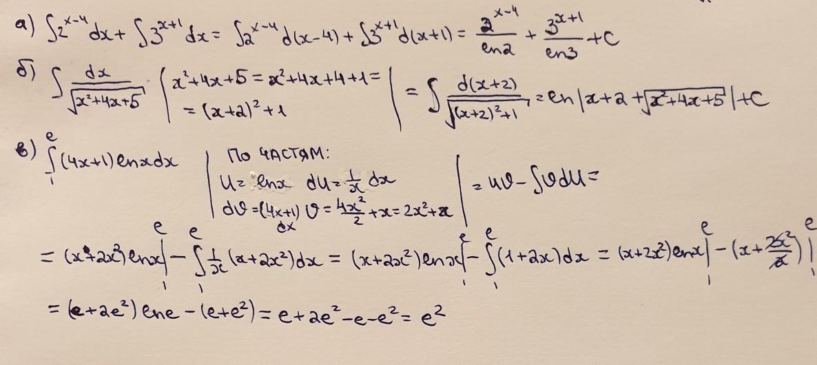
знайти невизначені та визначний інтеграл​

Приложения:

Ответы

Ответ дал: Miroslava227
1

Ответ:

решение на фотографии

Приложения:

Аноним: Здравствуйте. В прошлый раз вы мне помогли очень.. поможете сейчас? https://znanija.com/task/40098174
prendkovich03: дослідити функцію та побудувати її графік ​
https://znanija.com/task/40092102?utm_source=android&utm_medium=share&utm_campaign=question
prendkovich03: могли б Ви подивитися ще на це завдання
Вас заинтересует