• Предмет: Математика
  • Автор: maraleksey2020
  • Вопрос задан 3 года назад

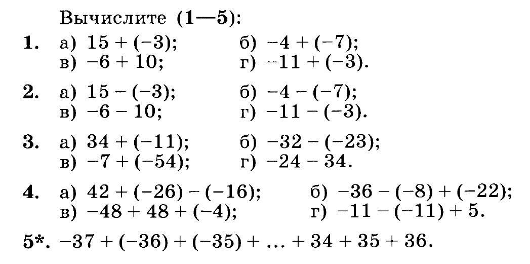
Помогите пж решить 5 номер

Приложения:

Аноним: один 5 номер, чи всі 5???

Ответы

Ответ дал: sofiyavictoria
0

Ответ:

- 37

Пошаговое объяснение:

все пары противоположных чисел от -36 до -1 в сумме дают 0 (-36+36=0,

-35+35=0, ......-2+2=0, -1+1=0). Поэтому сумма данных чисел =-37+0=-37.

Вас заинтересует