• Предмет: Математика
  • Автор: akalaevasabina70
  • Вопрос задан 3 года назад

помогите пожалуйста очень срочно ​

Приложения:

Ответы

Ответ дал: galzaitseva
1

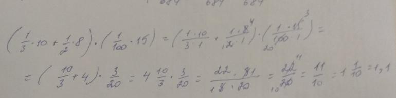
Ответ:

Пошаговое объяснение:

Приложения:
Вас заинтересует