• Предмет: Математика
  • Автор: dada04042003
  • Вопрос задан 3 года назад

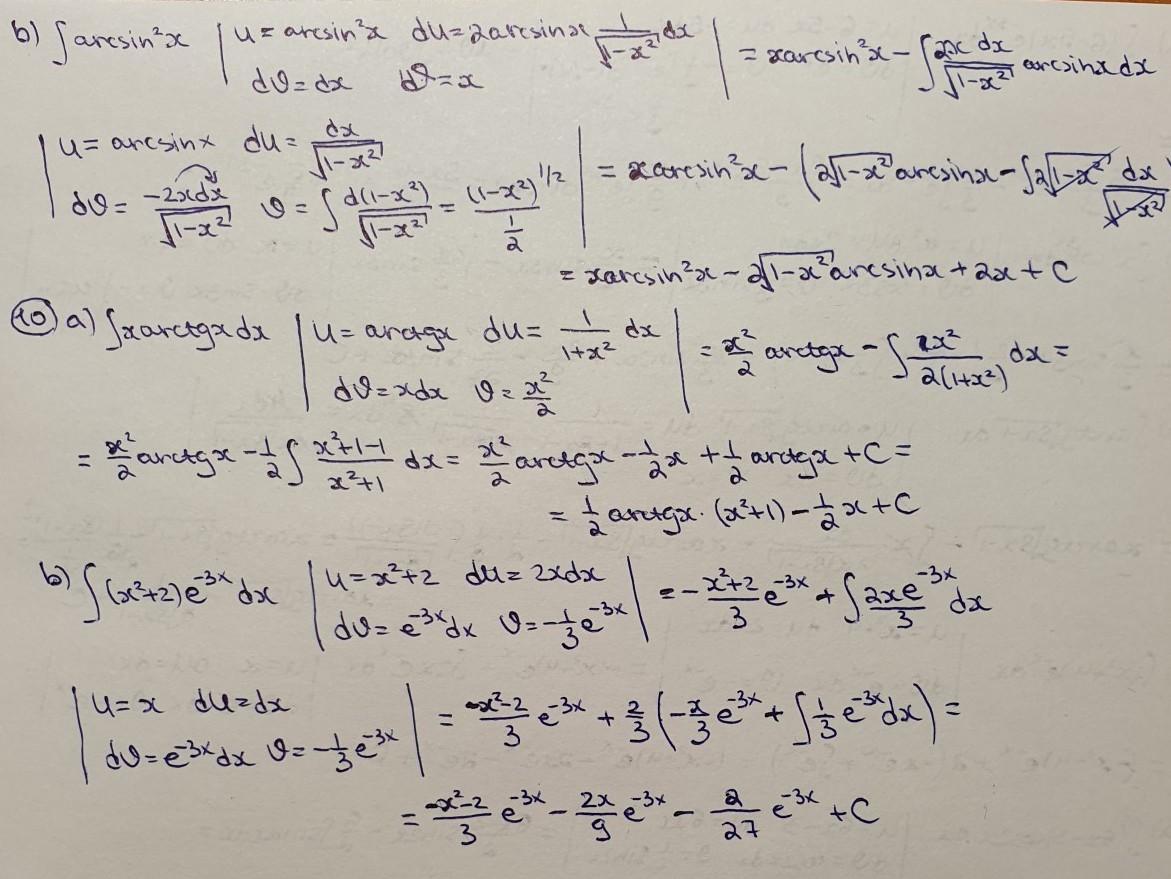
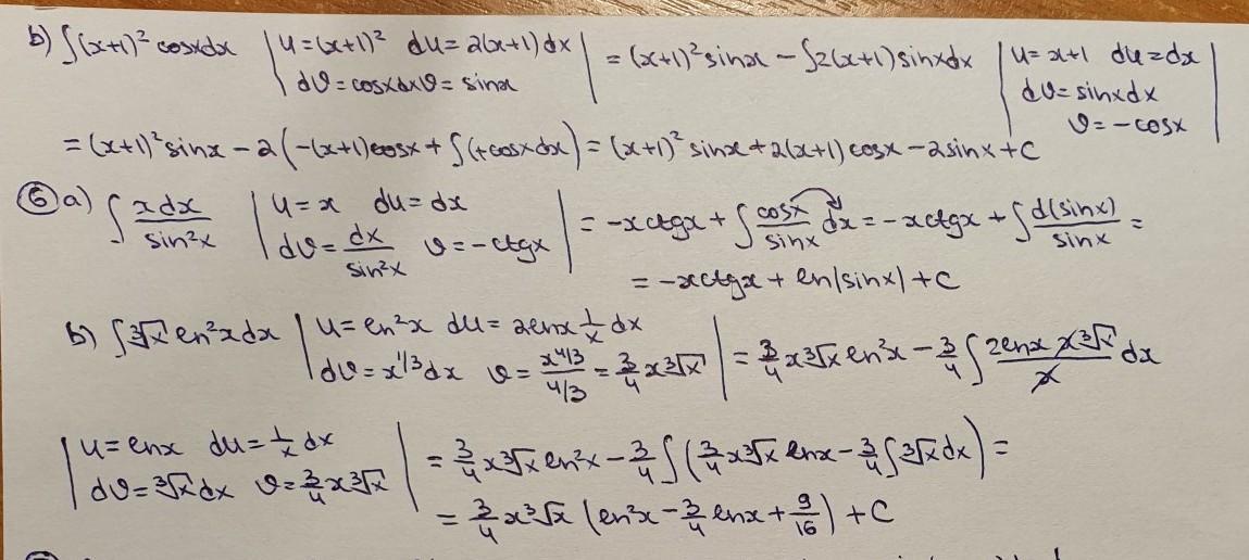
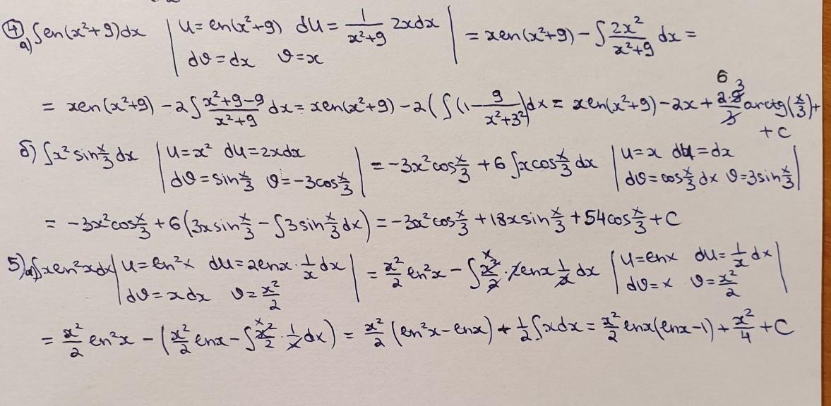
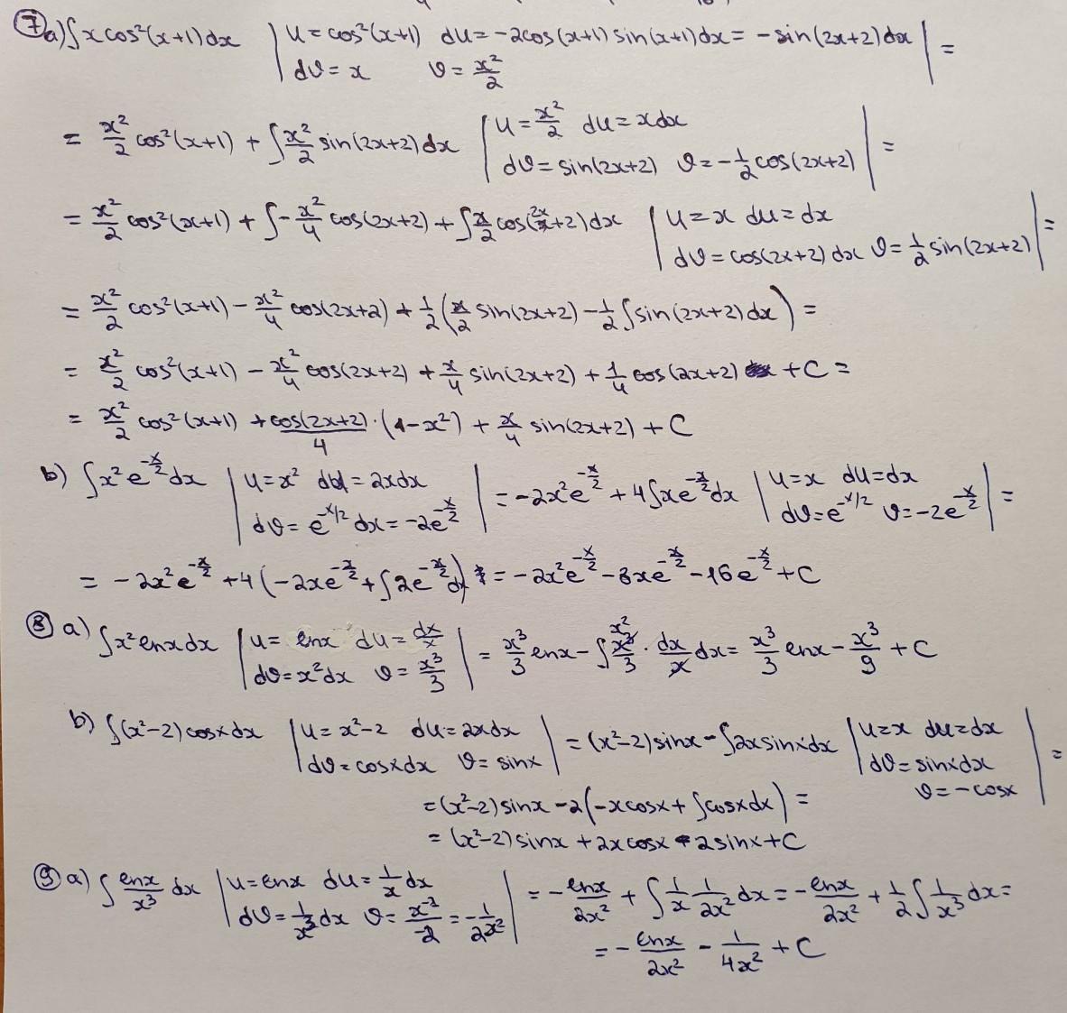
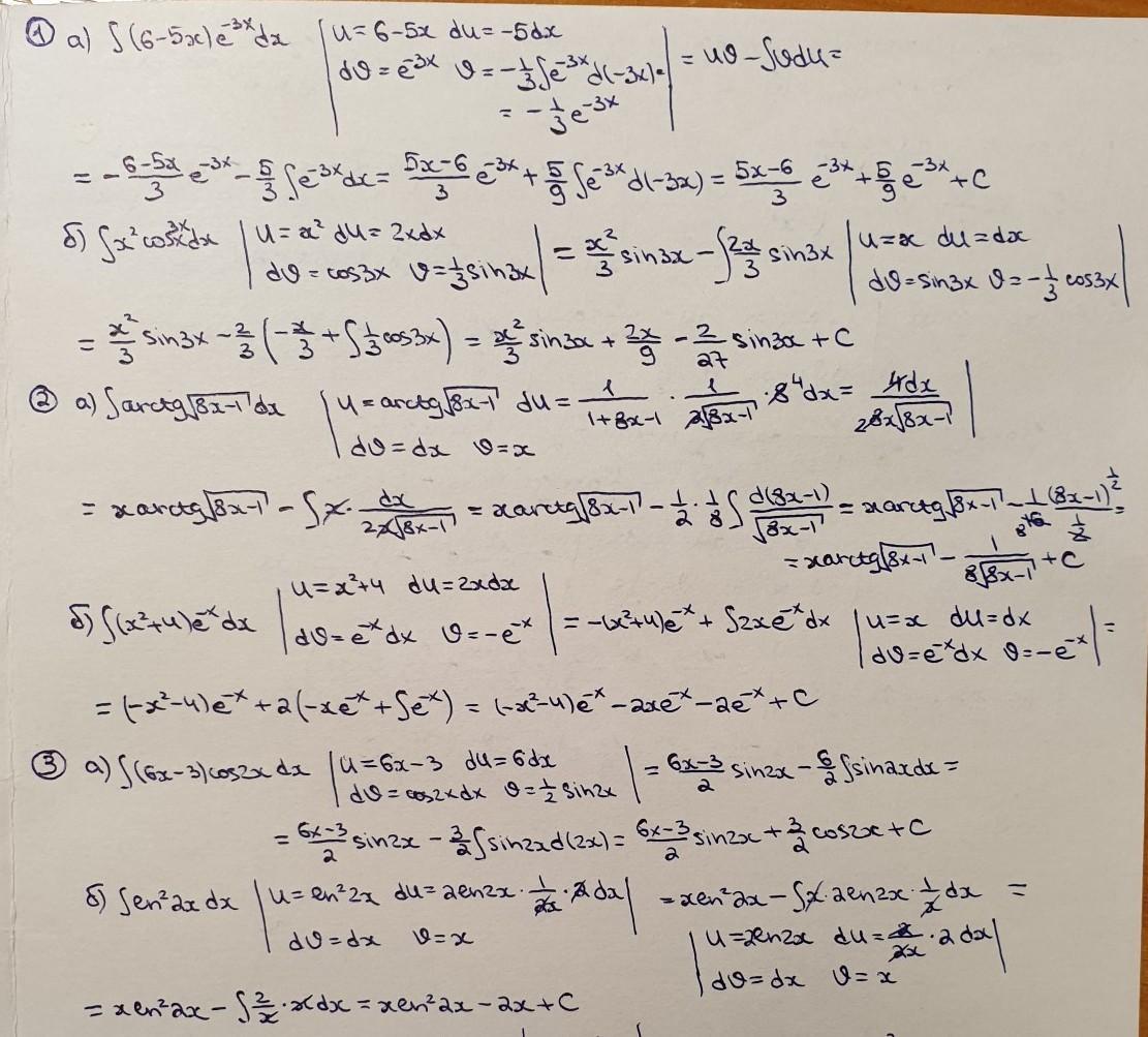
Выш мат!!! сделайте прошу)!

Приложения:

Miroslava227: здесь очень много делать( Вам до какого срока?
dada04042003: 2 дня есть,могу заплатить отпиши в вк *chipazero или телегу @yarmakzero
Miroslava227: Хорошо, завтра сделаю)

Ответы

Ответ дал: Miroslava227
1

Ответ:

решение на фотографиях

Приложения:

5456533: здравствуйте помогите с алгеброй срчоноооо
5456533: вопрос уже стоит
5456533: срочно нужна
Вас заинтересует