• Предмет: Алгебра
  • Автор: Antoxaxaxa54
  • Вопрос задан 3 года назад

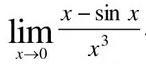
Помогите найти предел, пользвуясь правилом Лопиталя(очень надо)

Приложения:

Ответы

Ответ дал: Miа16
0

Ответ:

1) \lim_{x \to \00} \frac{x-sinx}{x^3} _ =  \lim_{x \to \00} \frac{\frac{d}{dx}(x-sinx) }{\frac{d}{dx}x^3 } _ =  \lim_{x \to \00} \frac{1-cosx}{3x^2} _= \lim_{x \to \ 0} \frac{\frac{d}{dx}(1-cosx) }{\frac{d}{dx} 3x^2} _=

= \lim_{x \to \ 0} \frac{sinx}{6x} _= \lim_{x \to \ 0} \frac{\frac{d}{dx}sinx }{\frac{d}{dx} 6x} = \lim_{x \to \ 0} \frac{cosx}{6} _=\frac{cos0}{6} =\frac{1}{6} = 0,16

Вас заинтересует