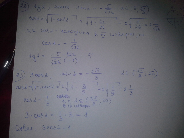
МНЕ НУЖНО К 17.12.2013Г. Т.Е. К ЗАВТРАШНЕМУ ДНЮ СРОЧНО ПОМОГИТЕ. РЕШИТЕ ОКОЛО ПЯТИ ЗАДАНИЙ, ПО ВОЗМОЖНОСТИ И БОЛЬШЕ.
Приложения:

Ответы
Ответ дал:
0
""""""""""""""""""""""""""""""""""
Приложения:



Ответ дал:
0
а почему только 2 номера? хотя 4-5 номерков бы.
Ответ дал:
0
Хватит 6 а-то там ребята тоже просят решить если не видно перезапусти лист
Ответ дал:
0
Не за что
Вас заинтересует
2 года назад
2 года назад
8 лет назад
10 лет назад
10 лет назад
10 лет назад