• Предмет: Алгебра
  • Автор: levtenkoff
  • Вопрос задан 3 года назад

алгебра помогите пожалуйста​

Приложения:

Ответы

Ответ дал: domsema101
0

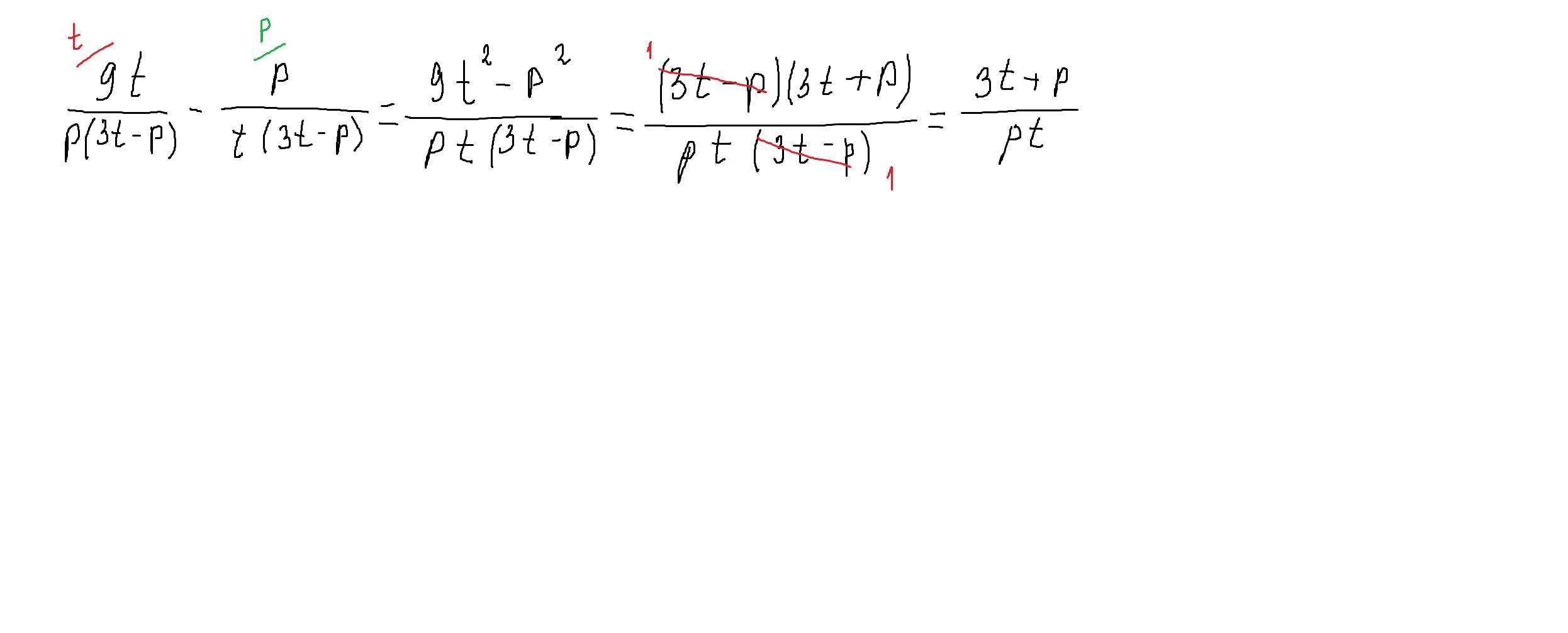
Ответ:

\frac{3t+p}{pt}

Ответ дал: parus77
0

Ответ:

Объяснение:

решение внизу

Приложения:
Вас заинтересует