• Предмет: Математика
  • Автор: lenaa5588
  • Вопрос задан 3 года назад

!!!!!!!!!!!!! ПОМОГИТЕ ПОЖАЛУЙСТА ОЧЕНЬ СРОЧНО НУЖНО ВЫПОЛНИТЬ ЗАДАНИЕ!!!!!!!!! УМОЛЯЮ КОМУ НЕ СЛОЖНО ПРОШУ ПОМОГИТЕ!!!!!!!!! ​

Приложения:

Ответы

Ответ дал: AnzhelaBerinceva
0

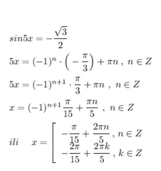
Ответ:

Единственное что смогла найти

Приложения:
Вас заинтересует