• Предмет: Математика
  • Автор: dfghttdfgr
  • Вопрос задан 3 года назад

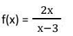
Задание: исследовать и построить график функции по схеме..
1. Найти область определения функции.
2. Выяснить, не является ли функция четной, нечетной
3. Найти точки пересечения графика с осями координат
4. Найти асимптоты графика функции .
5. Найти промежутки монотонности функции и ее экстремумы
6. Найти промежутки выпуклости графика функции и точки перегиба
7. Построить график , используя полученные результаты исследования

Приложения:

Ответы

Ответ дал: natalyabryukhova
0

Ответ:

==================================

Пошаговое объяснение:

Приложения:
Вас заинтересует