• Предмет: Математика
  • Автор: Аноним
  • Вопрос задан 3 года назад

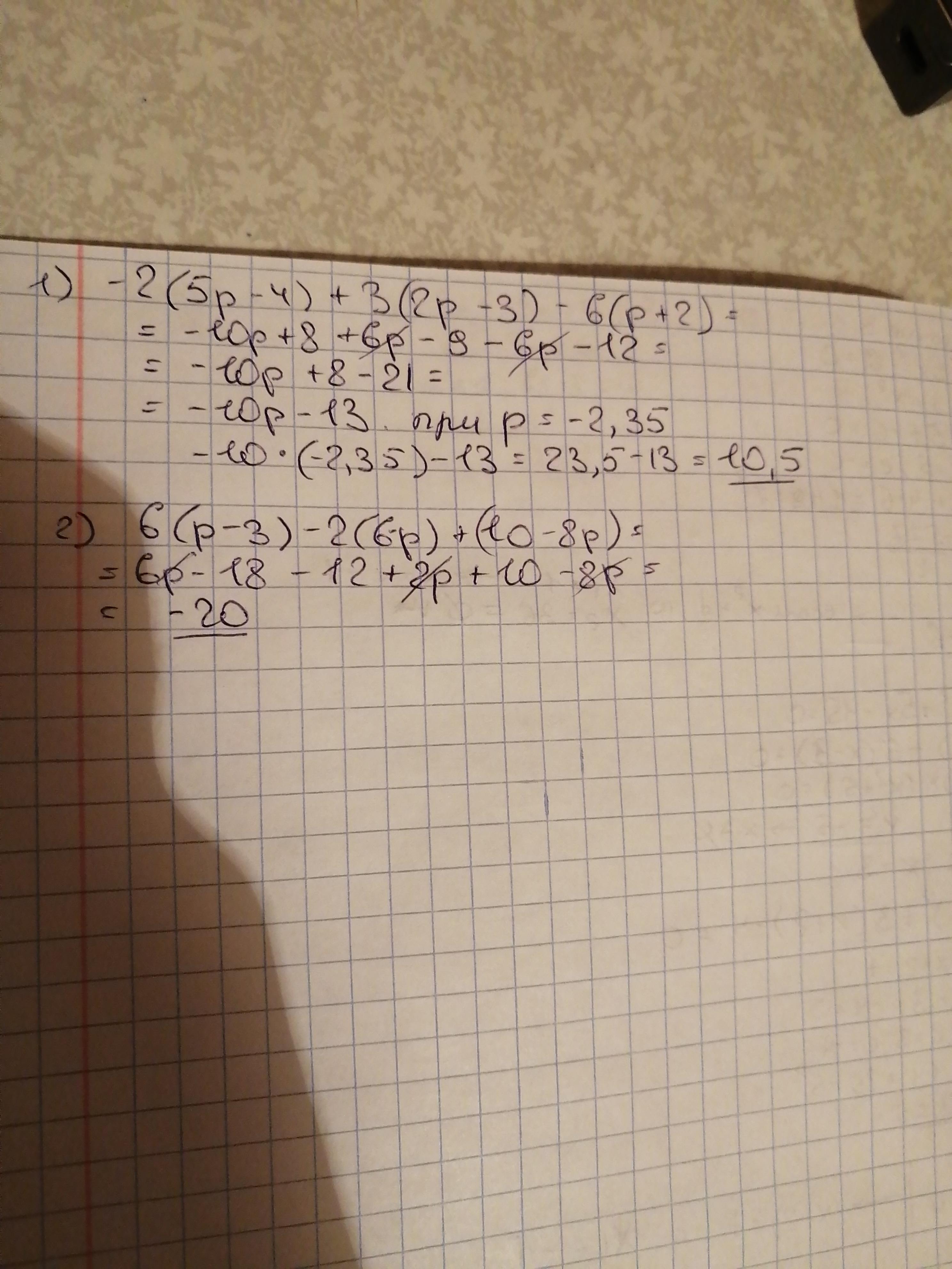
Упростите выражения (раскройте скобки, приведите подобные слагаемые) и найдите значение выражения, если p= -2,35

-2(5p-4)+3(2p-3)-6(p+2)

6(p-3)-2(6-p)+(10-8p)

Ответы

Ответ дал: zolotareva2710
0

Ответ:

Пошаговое объяснение:

Приложения:
Ответ дал: Ksenia09072004
1

Ответ: 1) 10,5.

2) -20.

Пошаговое объяснение: 1) -2(5p-4)+3(2p-3)-6(p+2)=-10р+8+6р-9-6р-12=-10р-13.

Если р=-2,35, то -10*(-2,35)-13=23,5-13=10,5.

2) 6(p-3)-2(6-p)+(10-8p)=6р-18-12+2р+10-8р=0р-20=-20.

Вас заинтересует