• Предмет: Алгебра
  • Автор: 273Nastya73
  • Вопрос задан 3 года назад

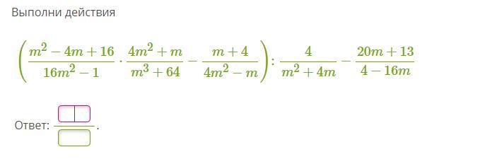
Выполни действия:фотография ниже

Приложения:

Ответы

Ответ дал: CreAstaleREAL
0

Ответ:

3/4 болады

Объяснение:

сол жауап дұрыс 100% көр өзің

Ответ дал: IlyaLikeD
1

Ответ: Объяснять слишком долго

3/4

Вас заинтересует