• Предмет: Алгебра
  • Автор: bsdfgesgt3
  • Вопрос задан 3 года назад

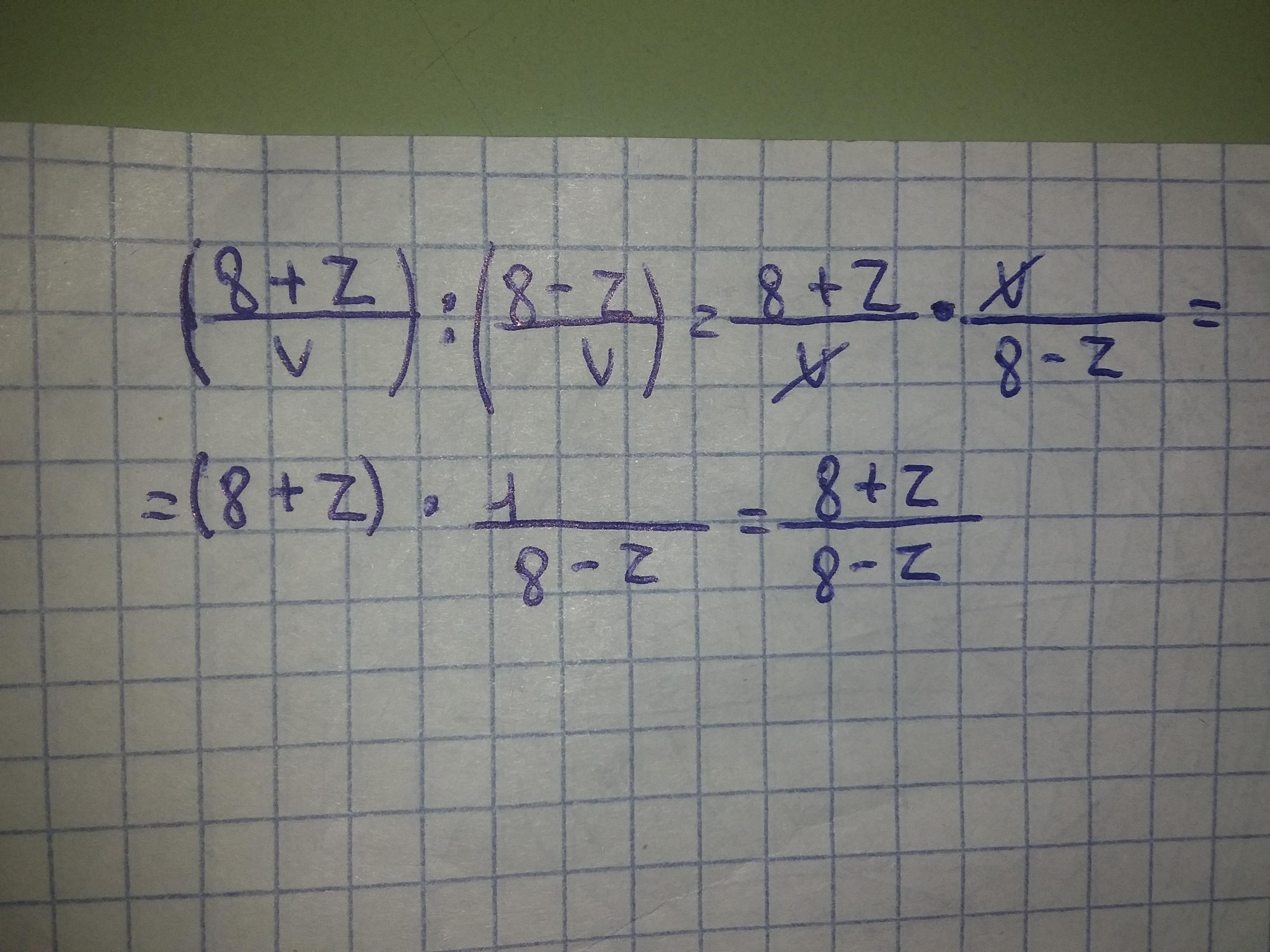
Представь в виде дроби (8+z\v):(8−z\v) .

Ответы

Ответ дал: DocAlfer
1

Ответ:

Объяснение:

(8+z\v):(8−z\v) = далее по фото

Приложения:
Ответ дал: fima1448857
0

Ответ:..............

Объяснение:

;3

Приложения:
Вас заинтересует