• Предмет: Математика
  • Автор: arzhistovskaya
  • Вопрос задан 3 года назад

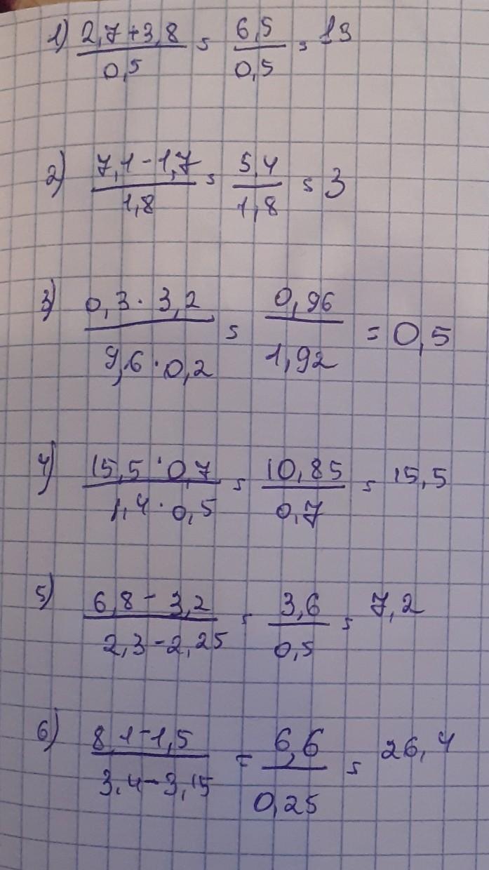
помогите, пожалуйста, дам 20 баллов​

Приложения:

Ответы

Ответ дал: matibaevaferuza
1

Ответ:

1)10.3

2)6

3)0,02

4)3,875

5)3

6)5


arzhistovskaya: спасибо большое
Ответ дал: nurlanova07aa
1

ну думаю что смогла помочь ;)

Приложения:

arzhistovskaya: большое спасибо
Вас заинтересует