• Предмет: Алгебра
  • Автор: FoxicQ
  • Вопрос задан 3 года назад

Помогите пж
Надо в течении 10 минут. Дам 18 баллов.... Help my please




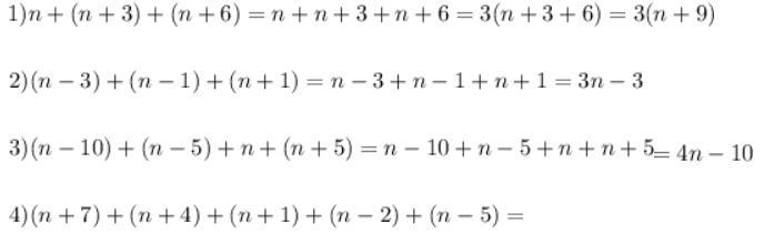
Раскройте скобки и упростите выражения
n+(n+3)+(n+6)
(n-3)+(n-1)+(n+1)
(n-10)+(n-5)+n+(n+5)
(p-5)-(p+5)=p*5-p*5=
(p+5)-(p-5)
p-(p-5)+(p+5)


Help please.....
Please...


Extratium: Можно без обьяснения?
FoxicQ: Давай
FoxicQ: Всё равно нужно ток ответ

Ответы

Ответ дал: nyushka111
1

Ответ:

Надеюсь правильно

Объяснение:

Приложения:
Ответ дал: Extratium
1

Ответ:

3(n+3)

3(n-1)

2(2n-5)

-10

10+p

Объяснение:

Вас заинтересует