Ответы
Ответ дал:
1
Ответ:
Пошаговое объяснение:
Приложения:

Ответ дал:
0
Ответ:
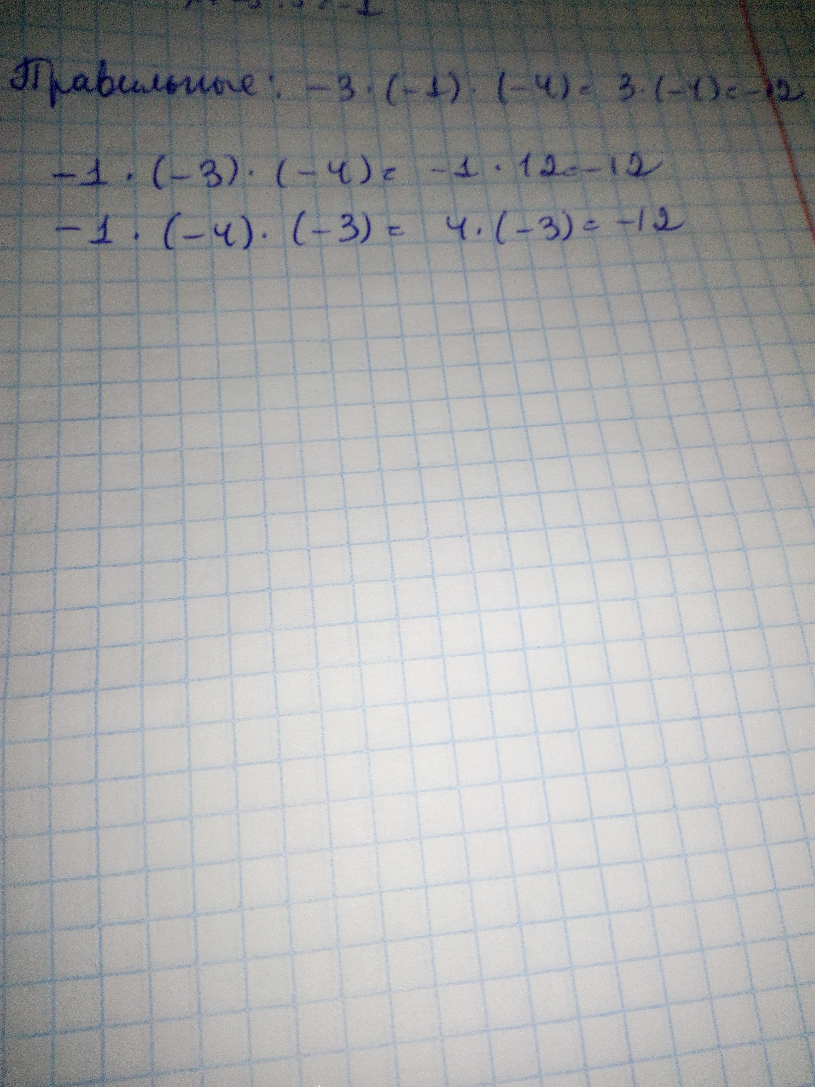
-3 · (-1) · (-4)
-1 · (-3) · (-4)
-1 · (-4) · (-3)
Пошаговое объяснение:
Вас заинтересует
2 года назад
2 года назад
2 года назад
7 лет назад
9 лет назад