• Предмет: Геометрия
  • Автор: radikkhadyev0405
  • Вопрос задан 3 года назад

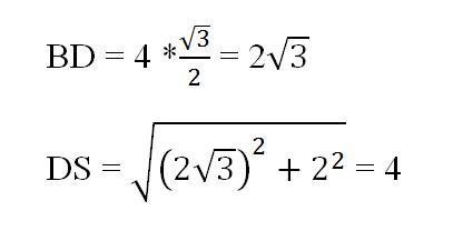
Срочно нужно в били лэнд!Прямая BS образует прямой угол со сторонами AB и ВС равностороннего треугольника ABC.
Отрезок BD - высота треугольника. Известно, что AC = 4, BS = 2!!!!. Определи длину отрезка DS.​

Ответы

Ответ дал: DannyKOT
9

Ответ:

4

Объяснение:

Решение в фотографии

Приложения:
Вас заинтересует