• Предмет: Математика
  • Автор: anaskutina88
  • Вопрос задан 3 года назад

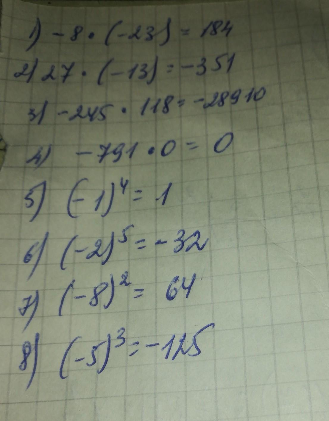
-8*(-23)
27*(-13)
-245*118
-791*0
(-1)-в 4 степени
(-2)-в 5 степени
(-8)-в 2 степени
(-5)-в 3 степени
очень срочно надо

Ответы

Ответ дал: serovaksusa1
1

Ответ:

Смотри решение на фото

Приложения:

anaskutina88: спасибо огромное
Вас заинтересует