• Предмет: Математика
  • Автор: Аноним
  • Вопрос задан 3 года назад

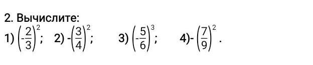
помогите пожалуйста
дам последние баллы​

Приложения:

Аноним: го дружить

Ответы

Ответ дал: zhanadilovaasia
0

Ответ:

........можно лучший ответт!?

Приложения:
Вас заинтересует